Master's Thesis
Home
master_thesis_graph
master_thesis_classes

Presenting a method for content classification in the organizational knowledge management process with the artificial neural networks approach

Python C# TensorFlow Scikit-learn

Abstract

Nowadays, the pace of world evolution is very high. Organizations constantly face new opportunities and threats. The ability to tolerate changes and make the most of the resulting capacities is essential for small and large organizations. The role of information and organizational knowledge becomes a key factor here. The contents of a knowledge management system provide the decision-making requirements at different management levels. Therefore, the proper and optimal classification of input data to knowledge management systems lays the foundation for making better decisions, & enables organizations to face diverse environmental conditions. Data science, especially the unique topic of deep learning, has created a big revolution in the organizing process of data and information. Taking advantage of deep learning concepts is not merely a competitive advantage but vital to the organization's survival. In this research, relying on the latest approaches of deep learning and artificial neural networks, a method has been presented that allows the classification of input contents to knowledge management systems with remarkable efficiency and effectiveness. We have compared the performance of this method with other prominent machine-learning counterparts and analyzed its pros and cons.

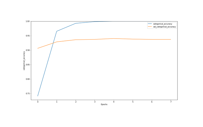
The presented method has performed better than alternative methods by achieving a classification accuracy of 94% for the English and 91% for the Persian dataset. Also, the average classification speed for each English and Persian paragraph was 0.3 and 0.2 milliseconds, respectively, which shows the extraordinary efficiency of this method.

Keywords: classification, knowledge management system, artificial intelligence, machine learning, deep learning, artificial neural networks, TensorFlow software library

Thesis's Whole Content (In Persian)

Thesis's GitHub Page


Copyright © 2023. Developed by Abbas Esmaeili.